武威重离子中心重(碳)离子治疗胰腺癌345例临床分析
武威重离子中心重(碳)离子治疗胰腺癌345例临床分析
自2018年武威重离子中心开展首例重(碳)离子治疗以来,已走过八年的历程。这八年中,胰腺癌是我们中心的第二大病种,积累了丰富的治疗经验,特总结分析。
一、基本情况统计
截至2026年3月5日,共治疗胰腺癌患者345例。其中男性213例,女性132例;平均年龄(60.73±11.13)岁,最大年龄91岁,最小年龄30岁。按照临床分期分类,I期12例、II期34例、III期135例,IV期164例(见表1)。

二、典型病例列举
典型病例一:胡某某,男,61岁,诊断:胰头恶性肿瘤 腺癌 cT4N2M1 IV期 。患者自诉当时在某大的中心住院时加入了胰腺癌外科治疗群,群中的病人大都是经历化疗、手术、再化疗、加免疫、靶向治疗的,几乎没有比他活的长、活的好的,重(碳)离子治疗后的四年里,他都是踢足球,经常剧烈运动的,没人相信他是个胰腺癌患者,复发后体力状况下降,不能踢足球了。2021-11接受第一次重(碳)离子治疗,重(碳)离子治疗总剂量为:55.2Gy(RBE)/12fx,肝脏S5段转移病灶重(碳)离子治疗总剂量为60Gy(RBE)/10fx。2025-02接受第二次重(碳)离子治疗,重(碳)离子剂量60Gy(RBE)/15fx。2025-10接受第三次碳离子治疗剂量为60Gy(RBE)/15fx,同时接受化疗,截止2026年3月17日,体力状况较差。胰腺癌前后三次重(碳)离子治疗。



【病例提供医生:张一贺主任 科室:放疗中心一科(国际一部)】
典型病例二:贾某某,男,75岁,南方某著名医科大著名教授。主诉:CA199升高1年余,确诊胰腺癌1周余。病史:2023-01-13:患者查肿瘤标志物示CA199 96.78 U/ml,未进一步诊治。2024-01-04:患者复查肿瘤标志物示CA199 1584.69 U/ml,腹部MRI示胰腺体部及尾部各见肿块,大小约43×23mm和约2cm大小,诊断胰腺癌。因长年从事放射介入临床式作。患者有血小板数量低及白细胞数量低,患者拒绝手术和化疗。2024-01-17患者来我院就诊,接受胰腺体尾部病灶重(碳)离子治疗,总剂量68Gy(RBE)/17次。治疗后CA199逐渐下降。治疗后7个月,2024-08-07患者查肿瘤标志物示CA199 1082.92 U/ml,检查见胰腺尾部病灶较前增大,代谢较前增高。考虑复发,再观察4个月,病情持续进展。2024年8月30日张雁山主任在手术室和外科医生一起实施SPACER置入手术,当天完成了重(碳)离子治疗。截止发稿日,2026年3月18日患者生存状况良好,没有用过任何化疗药,我们又创出了一条生命的奇迹。










【病例提供医生:张雁山 科室:放疗中心一科(国际一部)】
典型病例三:患者彭某某,男,68岁,贵州籍。诊断:胰腺恶性肿瘤、腺癌、cT4N2M0 III期。患者于2022-09出现上腹部疼痛,肿瘤标志物检查提示CA19-9:265.64U/ml;腹部CT示:胰头占位,继发胆总管及胰管扩张;腹膜后部分稍大淋巴结;2023-02-13患者腹痛加重,考虑胰头癌,继发胆总管及胰管扩张;腹膜后稍大淋巴结;当地医院给予全麻下腹腔镜中转开腹胃空肠Roux-en-Y吻合术,胰腺探查术,胰腺占位活检术,术后病检(B23-00780)示:腺癌。每日口服“羟考酮缓释片”60mg q12h止痛治疗。2023-03-28至2023-04-17来武威重离子中心接受重(碳)离子放射治疗,我们为患者采用了HFOV技术管控呼吸动度,总剂量为64.6Gy(RBE)/14Fx;并“卡培他滨”同步化疗。治疗后患者肿瘤消退较慢,疼痛缓慢减轻。截止发稿日,重(碳)离子治疗后35个月,患者疼痛消失,肿瘤明显消退,体力状况良好。

【病例提供医生:杨钰玲 科室:放疗中心一科(国际一部)】
典型病例四: 患者赵某某,男,50岁。2020-7查上腹部MR+MRC示:1.胰腺体部团块,肝左外叶及肝右后叶上段结节,考虑胰腺癌,伴肝内转移,胰腺病灶侵及脾动脉及肝固有动脉,伴腹腔干左侧淋巴结转移。患者就诊于重庆医科大学附属第一医院,超声胃镜下胰腺穿刺结果回示:(胰体穿刺组织)送检少许散碎的异型粘液上皮组织。后行肝脏穿刺结果示(肝穿刺组织)送检组织示恶性肿瘤,考虑为腺癌,局灶粘液分泌,结合临床和免疫组化,考虑胰腺转移。诊断:1、胰腺恶性肿瘤 胰体部 腺癌 cT4N1M1 IV期 KPS评分:80分;2、肝继发恶性肿瘤。 2021-7 患者行胰腺原发肿瘤重(碳)离子治疗共13次。肝S7转移病灶也同时用重(碳)离子,剂量60Gy(RBE)/6fx。治疗前,患者于重庆医科大学肿瘤查标志物提示CA-199 812.3 U/ml(2020-7-23),治疗后患者CA-199下降至17.4 U/ml(2021-8-13)。

治疗后患者一直在当地随访,至今各指标完全正常。截止发稿日2026年3月18日星期三,重(碳)离子治疗后56个月,肿瘤消失,体力状况良好,现已痊愈。
【病例提供医生:张雁山 科室:放疗中心一科(国际一部)】
三、胰腺癌生存情况
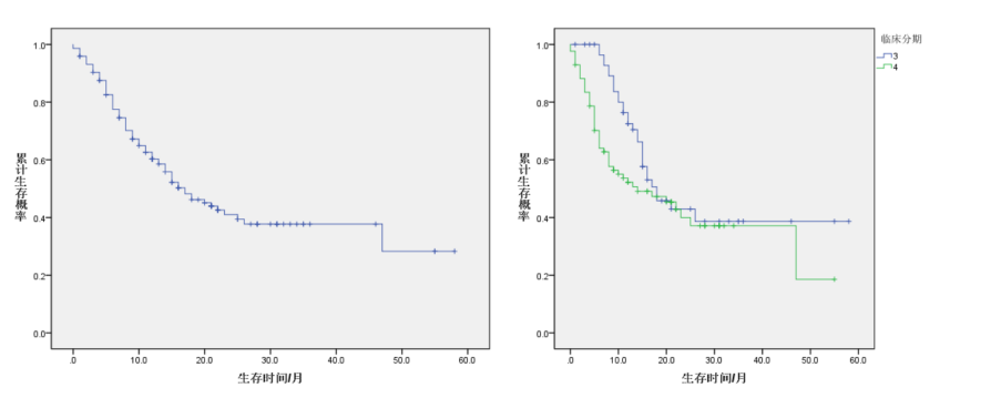
345例胰腺癌患者,其随访时间(0~58)个月。采用Kaplan-Meier法(K-M法)进行生存分析,中位生存时间(17±2.65)个月,治疗结束时累计生存概率为1,治疗结束后12、24、36、48个月的累计生存概率分别为0.6264、0.4101、0.3772、0.2829。(见表2)
其中,135例I~III期胰腺癌患者,其随访时间(0~58)个月。使用K-M法进行生存分析,中位生存时间(18±2.97)个月;治疗结束时累计生存概率为1,治疗结束12、24、36、48个月的累计生存概率分别为0.7636、0.4295、0.3865、0.3865,(见表2、图1)。164例IV期胰腺癌患者,其随访时间(0~55)个月。使用K-M法进行生存分析,中位生存时间(14±5.59)个月;治疗结束时累计生存概率为1,治疗结束后12、24、36、48个月的累计生存概率分别为0.5225、0.4000、0.3714、0.1857。(见表2、图1)。


图1 胰腺癌患者重(碳)离子治疗后生存曲线图(0~48个月)
四、疗效与安全性
本研究结果显示,武威重离子中心采用重(碳)离子治疗胰腺癌,全组患者中位生存期达到17个月,I-III期患者中位生存期为18个月,这是武威中心在不挑病人,中晚期病人相对较多的情况下的治疗数据,这一点难能可贵。这一数据显著优于传统光子放疗的历史数据。既往文献报道,传统光子放疗联合化疗治疗局部晚期胰腺癌的中位生存期多在11-15个月之间,如国际Ⅲ期LAP07随机对照试验显示其中位生存期为15.2个月。
与国际先进的重(碳)离子治疗数据相比,本中心治疗结果同样具有竞争力。日本作为重(碳)离子治疗开展最早的国家之一,其多项I/II期试验显示,重(碳)离子放疗联合化疗治疗不可手术的局部晚期胰腺癌,中位生存期约为19.6个月。本中心I-III期患者中位生存期达18个月,结果与之相近,且本中心纳入了48.24%的IV期患者,在更广泛人群中验证了重(碳)离子的治疗价值。
在安全性方面,因重(碳)离子其物理特性,能在肿瘤与周围关键器官(如胃肠)之间形成陡峭的剂量梯度,理论上可显著降低胃肠道溃疡、出血等严重并发症的发生风险。国际上多项研究也证实,重(碳)离子治疗的3级以上毒副反应发生率极低。
五、结论与展望
本研究基于345例大样本分析证实,重(碳)离子治疗胰腺癌疗效确切:全组中位生存期17个月,在Ⅰ期和Ⅱ期数量占比很小的情况下,统计出I-III期患者达18个月,显著优于传统光子放疗历史数据,在各重离子中心,也是非常优秀的数据,达国际先进水平。对于占比近半的IV期患者,中位生存期达14个月,显示重(碳)离子在晚期胰腺癌局部治疗中的独特价值。
武威重离子中心
武威重离子中心是中国首台拥有完全自主知识产权重(碳)离子治疗系统的临床应用基地,由中国科学院近代物理研究所提供技术支撑、甘肃省武威肿瘤医院负责临床运营。中心于2018年11月正式开展肿瘤的治疗,目前已累计治疗患者超过2800例,治疗病种扩展至50余种,包括肺癌、胰腺癌、肝癌、脑胶质瘤、鼻咽癌、直肠癌、各种肉瘤等等。
甘肃省武威肿瘤医院作为全球唯一同时运行两台重(碳)离子治疗系统的医疗机构,中心在技术创新领域取得八项“全球首创”成果:率先开展呼吸机管控下精准治疗技术、膀胱容量精准管控下膀胱癌治疗技术、脏器与癌肿间外科置入隔离垫单次治疗技术;研发国内首台360°旋转升降式离子放疗椅;全球首个完成多例心脏肿瘤重(碳)离子治疗等。
武威重离子中心依托中国科学院重(碳)离子束辐射生物学重点实验室、悉尼大学生物医学数据分析与可视化实验室等30个科研平台,已开展30多项重点病种临床研究。目前,中心已出版《碳离子放射治疗标准操作流程》等9部专著,构建起覆盖物理技术、临床诊疗、健康管理的完整知识体系。
撰稿人:陈雪莲、李鹏庆(肿瘤登记随访办)
审核:张雁山(副院长)
时间:2026年3月16日