武威重离子中心重(碳)离子治疗III期非小细胞肺癌165例临床分析
武威重离子中心重(碳)离子治疗III期非小细胞肺癌165例临床分析
2025年3月13日我们报告了武威重离子中心在过去的8年中应用重(碳)离子治疗非小细胞肺癌538例临床分析(https://www.wwzlz.cn/news/1956),今天,我们在将该组报告中的III期非小细胞肺癌的治疗效果做进一步解析。
武威重离子中心自2018年11月治疗首例患者以来,截至2026年3月5日,武威重离子中心共收治非小细胞肺癌患者538例,按照临床分期分类,III期共165例。这165例中包含有各种情况的非小细胞肺癌肺,包括大细胞肺癌、二次放疗后的、手术后复发的、射频消融术后复发的、碘粒子置入后未控的、质子放疗后复发的等,数据具有较大异质性。剔除这些因素后,仅统计原发性非小细胞肺癌中的III期肺鳞癌和腺癌,未接受过手术和放疗的的患者,这样数据比较清晰可靠,具有可比性,共134例。
本组患者以重离子治疗为主,一般根据全身状况及具体基因表达及PD-L1表达情况,重离子治疗的同时一般会推荐NCCN指南标准的药物治疗,比如会采用有限度的同步或序贯化疗1-4个周期、或同步或序贯靶向治疗、同步或序贯的免疫治疗。
一、III期非小细胞肺癌基本情况统计
134例III期非小细胞肺癌患者中,男性120例,女性14例;平均年龄(63.79±10.83)岁,最大年龄85岁,最小年龄26岁。按照病理类型分类,腺癌68例,鳞癌66例。(见表1)

二、III期非小细胞肺癌生存分析
(一)总体生存情况
其中134例III期非小细胞肺癌患者随访时间(0~65)个月。使用K-M法进行生存分析;治疗结束时累计生存概率为1.0000,治疗结束3、6、12、24、36、48、60个月的累计生存概率分别为0.9877、0.9498、0.8652、0.7028、0.6501、0.6068、0.6068。(见表2,图1)


图1 治疗结束时到治疗结束后60个月的生存曲线图
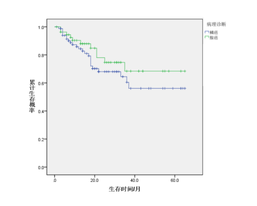
(二)III期非小细胞肺癌不同病理类型(腺癌、鳞癌)生存情况
66例III期非小细胞肺鳞癌患者,其随访时间(0~65)个月。使用K-M法进行生存分析,平均生存时间(44.65±3.35)个月;治疗结束时累计生存概率为1,治疗结束3、6、12、24、36、48、60个月的累计生存概率分别为0.9881、0.9387、0.8584、0.6805、0.6044、0.5613、0.5613。
68例III期非小细胞肺腺癌患者,其随访时间(0~65)个月。使用K-M法进行生存分析,平均生存时间(50.37±3.84)个月;治疗结束时累计生存概率均为1,治疗结束3、6、12、24、36、48、60个月的累计生存概率分别为0.9630、0.9441、0.9035、0.7804、0.6843、0.6843、0.6843。(见表3,图2)
采用Log-rank检验,鳞癌和腺癌肺癌患者的生存时间没有统计学差异(χ2=1.20,P=0.273)。


图2 鳞癌和腺癌患者治疗结束时到治疗结束后60个月的生存曲线图
三、疗效与安全性分析
武威重离子中心134例III期非小细胞肺癌采用以重离子为主的治疗结果显示,2年总生存率为70.3%,4年总生存率为60.7%,5年总生存率同样达到60.68%,中位生存期尚未达到(因多数患者仍存活)。这一数据显著优于国际顶级临床研究的结果。
以Ⅲ期非小细胞肺癌同步放化疗后免疫维持治疗的PACIFIC研究为例,其2年总生存率为66.3%,4年总生存率为49.7%,5年总生存率降至42.9%,中位生存期为47.5个月。传统光子同步放化疗的代表性研究RTOG 0617中,接受60Gy放疗联合化疗的患者2年总生存率为57.6%,4年生存率约为30%~40%,5年生存率进一步下降至20%~30%,中位生存期仅28.7个月。而日本重(碳)离子治疗Ⅱ-Ⅲ期非小细胞肺癌的研究显示,2年总生存率为58.7%,5年生存率约为40%~50%,中位生存期为29.3个月。
由此可见,武威重(碳)离子中心采用重(碳)离子为主的综合治疗方案,在Ⅲ期非小细胞肺癌中取得了5年生存率超过60% 的优异疗效,不仅远超传统光子放化疗,也优于国际同类重(碳)离子研究的数据,且安全性更佳,患者生存质量高,生存期长。这一结果证实了重(碳)离子治疗在Ⅲ期非小细胞肺癌中的显著优势与长期生存获益。
四、患者最关心的问题解答
Q1:重(碳)离子治疗局部晚期肺癌效果真的好吗?
A: 武威重离子中心165例Ⅲ期肺癌数据显示,5年生存率60.68%,远超传统放化疗的30%~50%。1年、2年总生存率分别达86.5%和70.2%。
Q2:听说普通放疗会引起放射性肺炎,重(碳)离子治疗也会引起放射性肺炎吗?
A: 重(碳)离子因其精准的布拉格峰特性,正常肺组织受照剂量极低,放射性肺炎发生率显著低于传统放疗。武威重(碳)离子中心数据显示,3级以上放射性肺炎发生率很低,多为1~2级轻微可控,3级以上极少。患者的肺炎,更多是免疫或化疗等引起,对有丰富经验的重(碳)离子医生,重(碳)离子的放射性肺炎非常可控。
Q3:腺癌和鳞癌,哪种效果更好?
A: 武威重离子中心数据显示,腺癌60个月生存率68.4%,鳞癌56.1%,统计学无显著差异(P>0.05)。重(碳)离子治疗打破传统“鳞癌预后更差”的认知,对两种病理类型疗效相当。
Q4:治疗过程痛苦吗?需要住院多久?
A: 重(碳)离子治疗无创无痛,每次治疗仅需10~20分钟,治疗期间可正常生活。武威中心已实现“单次分割一日内完成治疗”技术全球数量最多。住院时间因病情而异,一般为30天以内完成。
Q5:费用高吗?有优惠或研究项目吗?
A: 武威重离子中心持续开展多项临床研究,符合条件的患者可享受重(碳)离子治疗费用零自付。
五、结论:重(碳)离子为局部晚期非小细胞肺癌带来新希望
- 疗效优异:Ⅲ期肺癌5年生存率60.68%,不仅远超传统光子放疗,也优于国际同类重(碳)离子研究的数据;
- 安全性高:3级以上毒副反应非常少和可控,放射性肺炎较轻和可控;
- 技术领先:国内首台具有自主知识产权的大国重器,8年的临床经验,引领国内重(碳)离子技术发展。
- 模式先进:重(碳)离子主,综合管理肿瘤患者,团队具有熟练的英语听说读写译的能力,与国际同步并保持领先。
当重(碳)离子的“布拉格峰”精准狙击肿瘤,当“综合治疗”与“全生命周期管理”贯穿始终,武威重离子中心让“局部晚期”不再意味着“希望有限”,而是为每一位患者打开了一扇通向长期生存与高质量生活的新大门。
六、武威重离子中心
武威重离子中心是中国首台拥有完全自主知识产权重(碳)离子治疗系统的临床应用基地,由中国科学院近代物理研究所提供技术支撑、甘肃省武威肿瘤医院负责临床运营。中心于2018年11月正式开展肿瘤的治疗,目前已累计治疗患者超过2800例,治疗病种扩展至50余种,包括肺癌、胰腺癌、肝癌、脑胶质瘤、鼻咽癌、直肠癌、各种肉瘤等等。
武威肿瘤医院作为全球唯一同时运行两台重(碳)离子治疗系统的医疗机构,中心在技术创新领域取得八项“全球首创”成果:率先开展呼吸机管控下精准治疗技术、膀胱容量精准管控下膀胱癌治疗技术、脏器与癌肿间外科置入隔离垫单次治疗技术;研发国内首台360°旋转升降式离子放疗椅;全球首个完成多例心脏肿瘤重(碳)离子治疗等。
中心依托中国科学院重(碳)离子束辐射生物学重点实验室、悉尼大学生物医学数据分析与可视化实验室等30个科研平台,已开展30多项重点病种临床研究。目前,中心已出版《碳离子放射治疗标准操作流程》等9部专著,构建起覆盖物理技术、临床诊疗、健康管理的完整知识体系。
撰稿人:陈雪莲(肿瘤登记随访办)
审核:张雁山(重离子中心主任)
时间:2026年3月13日