武威重离子中心重(碳)离子治疗非小细胞肺癌538例临床分析
武威重离子中心重(碳)离子治疗非小细胞肺癌538例临床分析
摘要
武威重离子中心是中国首个拥有自主知识产权的重(碳)离子治疗中心,自2018年11月开始治疗患者。中心配备国之重器-中国首台国产重(碳)离子治疗系统,利用重(碳)离子独特的布拉格峰物理特性和高相对生物学效应,实现对肿瘤的精准杀伤,同时最大限度保护周围正常组织。肺癌是武威重离子中心的第一优势病种,武威重离子中心在肺癌的治疗中积累了丰富的经验。在非小细胞肺癌治疗中,重(碳)离子治疗适合早、中、晚期各个期别的肺癌,尤其对于局部晚期、不可手术或因合并症不能耐受手术的患者,有其它治疗手段不可替代的优势。截至2026年3月5日,武威重离子中心共收治非小细胞肺癌患者538例,现将临床疗效及安全性总结如下。
一、非小细胞肺癌基本情况统计
538例非小细胞肺癌患者中,男性364例,女性174例;平均年龄(61.10±11.09)岁,最大年龄87岁,最小年龄26岁。按照病理类型分类,腺癌276例,鳞癌161例,其他101例;按照临床分期分类,I期26例,II期37例,III期165例,IV期287例。(见表1)

二、非小细胞肺癌生存分析
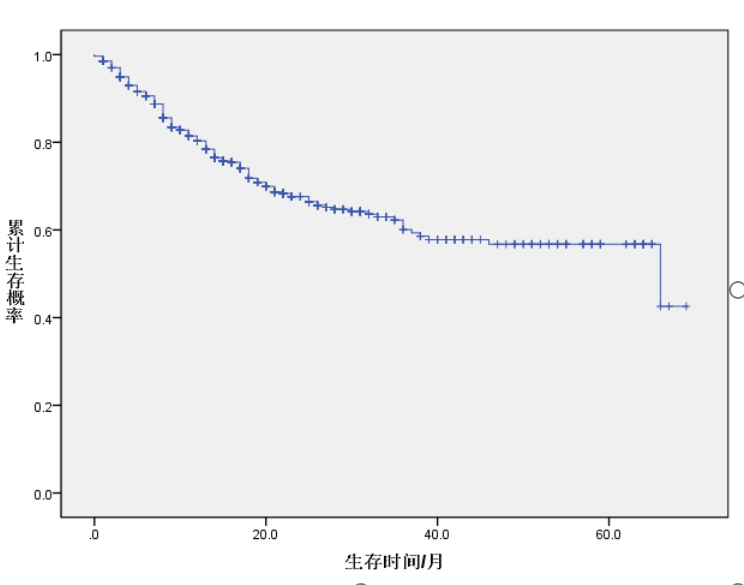
(一)所有患者生存情况
538例非小细胞肺癌患者,其随访时间(0~69)个月。使用K-M法进行生存分析,中位生存时间(66.00±17.64)个月;治疗结束时累计生存概率为1,治疗结束3、6、12、24、36、48、60个月的累计生存概率分别为0.9699、0.9156、0.8143、0.6760、0.6227、0.5676、0.5676。(见表2,图1)


图1 治疗结束时到治疗结束后60个月的生存曲线图
(二)III期患者生存情况
其中165例III期非小细胞肺癌患者随访时间(0~65)个月。使用K-M法进行生存分析;治疗结束时累计生存概率为1,治疗结束3、6、12、24、36、48、60个月的累计生存概率分别为0.9877、0.9498、0.8652、0.7028、0.6501、0.6068、0.6068。(见表3,图2)


图2 治疗结束时到治疗结束后60个月的生存曲线图
三、疗效与安全性分析
本中心重(碳)离子治疗非小细胞肺癌取得了良好的疗效。全部538例患者的中位生存时间为66个月,1、2、3、5年生存率分别为81.4%、67.6%、62.3%、56.8%(见表2)。其中III期患者165例,1、2、3、5年生存率分别为86.5%、70.3%、65.0%、60.7%(见表3)。上述结果与国内外已报道的重(碳)离子治疗非小细胞肺癌数据相符。
与光子治疗的疗效对比:多项临床研究证实,重(碳)离子治疗在生存获益方面显著优于常规光子放疗。一项纳入多项观察性研究的荟萃分析显示,在I期不可手术非小细胞肺癌患者中,常规光子放疗的5年总生存率约为20%,而重(碳)离子治疗可达42%,差异具有统计学意义。对于局部晚期(III期)患者,重(碳)离子治疗的生存优势更为明显,文献报道重(碳)离子治疗后2年生存率约为61%-74%,而常规光子放疗仅为53%。本中心III期患者5年生存率达60.7%,与上述国际报道的重(碳)离子治疗水平(42%-60%)相符,显著优于光子放疗的历史数据(光子放疗局部晚期非小细胞肺癌5年生存率约为15%~30%)。
临床安全性数据: 基于上述物理和生物学优势,重(碳)离子治疗后放射性损伤多为1~2级。文献报道,光子立体定向体部放疗的严重肺损伤(≥3级)发生率范围为0-28%,而重(碳)离子治疗的所有报道均显示该发生率低于8%。本组患者治疗期间及后续随访中,3级及以上急性或晚期不良反应非常低且可控,表明重(碳)离子治疗非小细胞肺癌安全可行,患者耐受性良好。病例插图病例一:薛某某,63岁,右肺中央型鳞癌,cT2N3M0 分期,IIIB 2020年10月重(碳)离子治疗,随访至今,状况良好。
病例插图
病例一:薛某某,63岁,右肺中央型鳞癌,cT2N3M0 分期,IIIB 2020年10月重(碳)离子治疗,随访至今,状况良好

该患者治疗前后的长期随访,右肺中央型病变完全消失

病例提供医生:王馨 科室:放疗中心一科(国际一部)
病例二: 宋某某,男,51岁, 右肺大细胞肺癌,cT3N2M0 ⅢB期。2020年首次重(碳)离子治疗,2025年发现肾上腺转移,再次重离子治疗肾上腺转移灶,目前病情控制良好。


病例提供医生:张雁山主任 科室:放疗中心一科(国际一部)
病例三:张某某,41 岁,右肺腺癌,cT3N1M0,临床分期 ⅢA,治疗9个月后病灶明显缩小。


病例提供医生:张一贺 科室:放疗中心一科(国际一部)
病例四:谢某某,男,65岁;入院日期:20220805,初步诊断:左肺下叶鳞状细胞癌,分期: cT2bN1M0 ⅢA期。2022年6月于华中科技大学某医院行“全麻下开胸探查术”,术中发现胸膜粘连严重、多发肺大疱、肺气肿,因肺功能极差未能切除病灶。2022年8月在我中心接受重(碳)离子治疗。重(碳)离子治疗后20月局部有肺不张和肺实变,没有肿瘤存活,随访至今,状况良好。



病例提供医生:张雁山主任 科室:放疗中心一科(国际一部)
病例五:杨某某,男,82岁,四川省成都市;诊断:气管恶性肿瘤 鳞状细胞癌;主诉: 胸闷、气短2周。2024/11/26 治疗结束后,肿瘤明显缩小,脱离鼻导管吸氧。

病例提供医生:张雁山主任 科室:放疗中心一科(国际一部)
四、 结论
武威重离子中心重(碳)离子治疗非小细胞肺癌取得了非常好的疗效。在晚期病例占绝大多数(55.73%)的情况下,5年生存率达56.8%。体现了以重(碳)离子为主的治疗对肺癌的优势,也使肺癌成为武威重离子中心的优势病种。我们将在后面进一步报告重(碳)离子治疗Ⅲ期肺癌的疗效。
本中心538例大样本数据进一步证实了重(碳)离子治疗非小细胞肺癌的有效性、安全性、长生存性和高治愈率,重离子治疗后患者治愈率高,住院时间短,不受罪,生存质最量高,活的更有尊严!
值得说明的是,本组包含很多IV期患者,其长期生存得益于我们采用的以重(碳)离子为主的综合治疗策略,充分体现了肿瘤全周期管理的价值。未来我们将继续积累病例,开展前瞻性随机对照研究,以提供更高级别的循证医学证据。
五、武威重离子中心介绍
武威重离子中心是中国首台拥有完全自主知识产权重离子治疗系统的临床应用基地,由中国科学院近代物理研究所提供技术支撑、甘肃省武威肿瘤医院负责临床运营。中心于2018年11月正式开展肿瘤的治疗,目前已累计治疗患者超过2800例,治疗病种扩展至50余种,包括肺癌、胰腺癌、肝癌、脑胶质瘤、鼻咽癌、直肠癌、各种肉瘤等等。
武威肿瘤医院作为全球唯一同时运行两台重离子治疗系统的医疗机构,中心在技术创新领域取得八项“全球首创”成果:率先开展呼吸机管控下精准治疗技术、膀胱容量精准管控下膀胱癌治疗技术、脏器与癌肿间外科置入隔离垫单次治疗技术;研发国内首台360°旋转升降式离子放疗椅;全球首个完成多例心脏肿瘤重离子治疗等。
中心依托中国科学院重离子束辐射生物学重点实验室、悉尼大学生物医学数据分析与可视化实验室等30个科研平台,已开展30多项重点病种临床研究。目前,中心已出版《碳离子放射治疗标准操作流程》等9部专著,构建起覆盖物理技术、临床诊疗、健康管理的完整知识体系。
撰稿人:陈雪莲(肿瘤登记随访办)
审核:张雁山(重离子中心主任)
时间:2026年3月12日