武威重离子中心重(碳)离子治疗脑转移癌基本情况统计
武威重离子中心重(碳)离子治疗脑转移癌基本情况统计
摘要
武威重离子中心自2018年11月临床应用以来,122例脑转移癌的治疗经验表明,重(碳)离子治疗脑转移癌,无论脑转移癌大小和数目,甚至5cm以上大的脑转移癌,均可取得理想的治疗效果,脑转移癌的重(碳)离子治疗局控率达100%,可显著延长患者生存期,且耐受性良好。
(一)基本情况
截至2026年2月28日,共治疗脑转移癌患者122例。其中男性58例,女性64例;平均年龄(54.98±11.11)岁,最大年龄78岁,最小年龄29岁。患者脑转移癌主要来源于肺癌(包括腺癌、鳞癌、小细胞癌、非小细胞肺癌、腺鳞癌等)——约占总例数的70%,其它为乳腺癌、直肠癌、食管癌、结肠癌、腮腺恶性肿瘤(包括腺样囊性癌)、宫颈癌、上颌窦恶性肿瘤(包括尤因肉瘤、腺样囊性癌等)、纵膈恶性肿瘤(包括黏液纤维肉瘤)、四肢软组织恶性肿瘤(包括上皮样肉瘤)等,多数为较晚期且伴有其他部位转移。
01 病例一
谢某某,男,52岁,湖南湘乡市;诊断:肺大细胞神经内分泌癌脑转移; cT2N2M1 IVB期;KPS评分:60分。

病例提供医生:杨钰玲 科室:放疗中心一科(国际一部)
02 病例二
刘某某,女,56岁;主因“肺癌伴脑转移重(碳)离子治疗后3年余,左上肢无力1年余”入院; 诊断:1.右肺下叶恶性肿瘤(靶向、γ刀及碳离子治疗后) 腺癌 cT4N0M1c IVB期 2.脑继发恶性肿瘤; 重(碳)离子治疗:左侧额叶转移病灶重(碳)离子治疗。


病例提供医生:杨钰玲 科室:放疗中心一科(国际一部)
03 病例三
江某某,女,50岁,江西南昌籍;诊断:直肠恶性肿瘤、腺癌、脑继发恶性肿瘤、cT0N0M1b IVB期。多个脑转移癌均采用重(碳)离子治疗。




病例提供医生:杨钰玲 科室:放疗中心一科(国际一部)
04 病例四
张某某,男,57岁;诊断:食管癌多发脑转移;治疗时间:2022/9/20至2022/10/7。



病例提供医生:王馨 科室:放疗中心一科(国际一部)
(二)生存情况
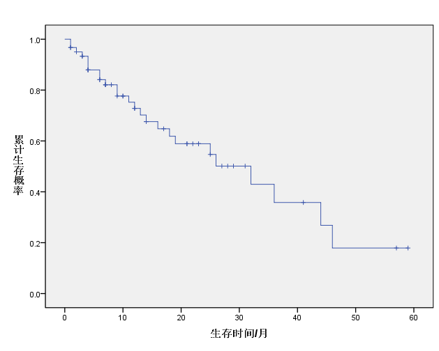
122例脑转移癌患者,其随访时间(0~59)个月。使用K-M法进行生存分析,中位生存时间(32±8.12)个月;治疗结束时累计生存概率为1,治疗结束12、24、36、48个月的累计生存概率分别为0.8791、0.8209、0.6760、0.5469。(见表1)


治疗结束时到治疗结束后48个月的生存曲线
(三)疗效与安全性解读
1.生存获益显著:传统脑转移癌治疗(如全脑放疗)的中位生存期通常为6~12个月,而本组重(碳)离子治疗后中位生存期超过32个月,显示出明显的生存优势。
2.局部控制良好:从生存曲线看,24个月生存率高达82%,提示重(碳)离子对颅内病灶的长期控制效果优异。
3.耐受性佳:未出现严重放射性脑坏死或≥3级毒性反应,重(碳)离子治疗脑转移癌的不良反应以1~2级为主,安全可控
(四) 结论
武威重离子中心122例脑转移癌的真实世界数据表明,重(碳)离子治疗可显著延长患者生存期(中位32个月),且耐受性良好。
武威重离子中心介绍
武威重离子中心是中国首台拥有完全自主知识产权重离子治疗系统的临床应用基地,由中国科学院近代物理研究所提供技术支撑、甘肃省武威肿瘤医院负责临床运营。中心于2018年11月正式开展肿瘤的治疗,目前已累计治疗患者超过2700例,治疗病种扩展至50余种,包括肺癌、胰腺癌、肝癌、脑胶质瘤、鼻咽癌、直肠癌、各种肉瘤等等。武威肿瘤医院作为全球唯一同时运行两台重离子治疗系统的医疗机构,中心在技术创新领域取得九项“全球首创”成果:率先开展呼吸机管控下精准治疗技术、膀胱容量精准管控下膀胱癌治疗技术、脏器与癌肿间外科置入隔离垫单次治疗技术;研发国内首台360°旋转升降式离子放疗椅;全球首个完成多例心脏肿瘤重离子治疗;全球首创双布拉格加重离子晶格放疗技术等。中心依托中国科学院重离子束辐射生物学重点实验室、悉尼大学生物医学数据分析与可视化实验室等30个科研平台,已开展30多项重点病种临床研究。目前,中心已出版《碳离子放射治疗标准操作流程》等9部专著,构建起覆盖物理技术、临床诊疗、健康管理的完整知识体系。
撰稿人:陈雪莲(肿瘤登记随访办)
审核:张雁山(重离子中心主任)
时间:2026年3月10日